Opis produktów
Nazwa angielskiego: Atrakurium beslan
Numer CAS: 64228-81-5
Wzór molekularny: C65H82N2O18S2
Masa cząsteczkowa: 1243.48
Numer einecs: 264-743-4
Pokrewna kategoria
Inhibitory małych cząsteczek, produkty naturalne; Surowce farmaceutyczne; Aktywne składniki farmaceutyczne; Pharmaceutical Intermediates; Surowce; Surowce medyczne; mediator; BLOKACJA NERWOROMOSULULAGENTU; Farmaceutyki; Relaksan z mięśniami; Leki anestezjologiczne; Lek; Acetylocholinereceptor; API; Syntetyna; Inhibitory; Przeboga; Odczynniki analizy chemicznej - standardy referencyjne; API\/Intermediates; Przemysł farmaceutyczny i chemiczny; Odczynniki chemiczne; Pharmaceuticalmaterialandintermeidates; ActivePharmaceuticalingRedients; Aromaty; Heterocykle; Intermediates & Finechemicals; 64228-81-5
Plik MOL: 64228-81-5. Mol
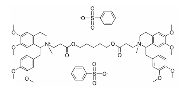
Formuła strukturalna:

Właściwości benzenosulfonianu Atracurium
Punkt topnienia: 85-90
Warunki przechowywania: Atmosfera obojętna, 2-8
Rozpuszczalność: rozpuszczalność w wodzie ~ 27 mg\/ml
Forma: proszek
Kolor: biały
CONAKIKEY: YXSLJKQTIDHPOT-UHFFFAOYSA-N
Baza danych CAS: 64228-81-5 (CAS Batabase Reference)
Metoda zastosowania i syntezy benzenesulfonianu Atrakurium
Strażniki mięśni szkieletowych do znieczulenia ogólnego
Benzoesan Atracurium jest ogólnym środkiem znieczulającym rozluźnieniem mięśni szkieletowych do rozluźnienia mięśni intubacji endotrochealnej i rozluźnienia mięśni chemicznych wymaganych do operacji piersiowej i brzusznej. Podobnie jak większość blokerów nerwowo -mięśniowych, może powodować uwalnianie histaminy, płukanie skóry, przejściowe niedociśnienie i czasami oskrzel.
Połączenie benzenosulfonianu Atracurium z wdychanymi gazami znieczulającymi, takimi jak halogeny, izofluran i sefluran może wzmocnić jego działanie blokowania nerwowo -mięśniowego. Współczesne stosowanie z aminoglikozydami, wieloma antybiotykami, soleami litowymi, chinidyną lub prokainamidem może zwiększyć jego efekt neuroblokowy. Ten produkt nie powinien być stosowany w połączeniu z depolaryzującymi odpoczynkami mięśni, takimi jak chlorek sukcyncholiny ze względu na możliwość przedłużonego złożonego efektu blokowania książek chemicznych, który jest trudny do odwrócenia leków antycholinazowych. Nie powinien być używany przez osoby alergiczne na ten produkt. Należy zachować ostrożność u pacjentów z miastenią gravis, chorobami nerwowo-mięśniowymi i ciężkimi zaburzeniami elektrolitów, ponieważ może to zwiększyć działanie innych środków bezpolaryzujących. Pacjenci z ciężką chorobą sercowo -naczyniową są bardziej wrażliwi na tymczasowe niedociśnienie, dlatego zaleca się powolne podawanie dożylne.
Wskazanie
Benzenesulfonian Atracurium może być stosowany w operacji i innych zabiegach, a także w leczeniu intensywnej opieki. Używany jako dodatek do znieczulenia ogólnego lub jako środek uspokajający na oddziale intensywnej terapii (OIOM), rozluźnia mięśnie szkieletowe i ułatwia intubację tchawicy i wentylację mechaniczną.
Efekt leczniczy
Benzenesulfonian Atracurium ma charakterystykę metabolizmu poprzez niehepatyczne i nie narodowe szlaki oraz ochronę sercowo-naczyniową, co ma zalety w podobnych lekach. Efekt rozluźnienia mięśni jest 3 razy silniejszy niż w powszechnie stosowanym klinicznym benzenesulfonian atrakurium.
Zidentyfikować
Benzenulfonian Benzenu Atracurium jest białym do żółtawym proszku krystalicznym w temperaturze pokojowej, łatwo delikatnym, bezwonnym, łatwo rozpuszczalnym w chloroformu lub etanolu, rozpuszczalnym w wodzie i prawie nierozpuszczalnym w eterze.
- Weź około 10 mg tego produktu, dodaj 1 ml rozcieńczonego kwasu solnego i rozpuść go, a następnie dodaj rozcieńczony roztwór jodku potasu Bismuth, aby wytworzyć żółty osad.
- Weź ten produkt, dodaj 0. 1Mol\/L Roztwór kwasu chlorowodorowego, aby wykonać roztwór zawierający 50Ug na 1 ml, zgodnie z spektrofotometrią (chińska farmakopoeia 2000, część II załącznik VI A), maksymalne wchłanianie przy 280 nm długości fali.
- Wzór absorpcji światła w podczerwieni tego produktu powinien być spójny z wzorem produktu referencyjnego.
Sprawdzać
Kolor roztworu
Po przyjęciu 100 mg tego produktu i dodaniu 10 ml wody w celu jego rozpuszczenia, roztwór powinien być bezbarwny, taki jak rozwój kolorów, w porównaniu z roztworem kolorymetrycznym żółtym nr 3 (pierwsza metoda załącznika IX A drugiej części chińskiej edycji farmakopoeia 2000), nie głębiej.
Pokrewna substancja
Weź odpowiednią ilość tego produktu i dodaj fazę mobilną, aby zrobić rozwiązanie zawierające 1 mg na każdym 1 ml jako rozwiązanie produktu testowego; Rozwiązanie zawierające 5 0 Ug w każdym 1 ml przygotowano przez dodanie fazy ruchomej w celu rozcieńczenia odpowiedniej ilości precyzyjnego pomiaru jako rozwiązania kontrolnego. Zgodnie z warunkami chromatograficznymi w elemencie określenia zawartości roztwór kontrolny 10UL wstrzyknięto do chromatografu cieczowego, a czułość wykrywania skorygowano, aby wysokość piku głównego składnika chemicznego piku 20% ~ 25% pełnej skali. Następnie powyższe dwa roztwory zostały dokładnie zmierzone 10ul i wstrzyknięto do chromatografu cieczowego, a chromatogram roztworu testowego zarejestrowano do 2 -krotnego czasu zatrzymywania szczytu głównego składnika. Jeżeli pik zanieczyszczenia zostanie znaleziony w chromatogramie roztworu testowego, należy zmierzyć sumę powierzchni piku zanieczyszczenia, który nie powinien być większy niż powierzchnia piku głównego piku komponentu roztworu kontrolnego (5,0%).
siarczan
Weź 1. 0 g tego produktu, dodaj 3 0 ml wody, rozpuść go, sprawdź zgodnie z prawem (chiński farmakopoeia 2 0 00, część II Dodatek ⅷ b), w porównaniu ze standardowym rozwiązaniem siarczanowym spalin wykonane z 5,0 ml rozwiązania kontrolnego, a nie więcej stężenie (0,05%).
Strata suszenia
Weź ten produkt, pentoksyd fosforu jako wysusza, susząc próżniowo w wysokości 5 0 przez 3 godziny, utrata masy nie może przekraczać 2,0% (wydanie chińskie farmakopoeia 2000, część II Dodatek ⅷ L).
Płonąca pozostałość
Weź 1. 0 g tego produktu, sprawdź zgodnie z prawem (chińska farmakopoeia 2 0 00 edycja, część II Dodatek ⅷ n), pozostałość nie przekracza 0,1%.
Metal heavy
Pozostałość pozostawiona na podstawie zarabiającego elementu pozostałości należy sprawdzić zgodnie z prawem (drugie prawo załącznika drugiej części wydania chińskiego farmakopei z 2000 r.), A metal ciężki nie przekracza 20 części na milion.
Właściwość chemiczna
Biały proszek, punkt topnienia 85 ~ 90 stopni. Zmiękcz w 60 stopnie C.
1r-cis, typ cis (cisatacurium besylan): [96946-42-8]. Biały stał.
Używać
Niedepolaryzujący odpoczynek mięśni, 2,5 razy silniejszy niż tubokuraryna, ale z krótszym czasem działania. Jest stosowany w różnych zabiegach chirurgicznych, zwłaszcza intubacji tchawicy i cesarskiej sekcji.
Strażnik mięśni szkieletowych do znieczulenia ogólnego
Metoda produkcji
{{0}}. 1Mol z 1, 5- pentanediol, 0. 2mol trietyloaminy i 0. 1 0 0 ml bezwodnego benzenu i 0,2mol chlorku akrylowego dodano do 60 ml bezwodnego benzenu w ciągu 0,5 godzin przy intensywnej mieszaniu. Dodaj około 100 ml bezwodnego benzenu i 10 ml trietyloaminy, a następnie wymieszaj 50 stopni przez 0,5 godziny. Filtruj, aby usunąć chlorowodorek trietyloaminy i zmniejszyć ciśnienie w celu usunięcia rozpuszczalnika. Pozostały żółty olej destylowano od światła w obecności śladowej p-metoksyfenolu, a 1, 5- diakrylan pentametylenowy uzyskano przez zebranie ułamka 90 ~ 95 stopni \/1,33Pa chemikalia z wydajnością 61%. 4,43 g tetrahydropapaverine i 1,30 g 1, 5- Diacrylan pentametylenowy uzyskany powyżej rozpuszczono w 15 ml bezwodnego benzenu i mieszano przez 48 godzin od światła. Rozpuszczalnik jest usuwany pod ciśnieniem, a pozostały ciemnoczerwony olej rozpuszcza się w 10 ml chloroformu. Dodaj około 400 ml eteru, a następnie dodaj około 500 ml roztworu eteru nasyconego kwasu szczawiowego, aby uzyskać floccylentny biały osad. Odcedź, umyj eterem i wysuszyć. Związek proszku białego 3,5 g (I) uzyskano przez rekrystalizację z etanolem dwukrotnie. Wydajność wyniosła 51%, a temperatura topnienia wynosiła stopień 117-121.
Związek (I) rozpuszczono w roztworze wodorowęglanu sodu i ekstrahowano toluenem. Po stężeniu ekstraktu uzyskano bezbarwną lepką ciecz, która była złożona (ⅱ).
0. 5G suszonego związku (ⅱ) rozpuszczono w 8 ml spektralnie czystego acetonitrylu, następnie dodano metylozenzenosulfonowy kwas i reagowano w temperaturze pokojowej przez 22H. Przy intensywnym pobudzeniu roztwór dodano do około 450 ml suszonego eteru chemicznego etylowego. Biały floccylentny osad utworzony przez filtrację i pobór przemyto suchym eterem i wysuszono pod próżnią w 50 stopnie w obecności pentoksyku fosforu. Otrzymano biały atrakurium benzenesulfonian o temperaturze topnienia 85 ~ 90 stopni.
Informacje o bezpieczeństwie
Uwaga bezpieczeństwa: 24\/25 WGK Niemcy3
Kod celny: 29334900
Popularne Tagi: Atrakurium besylate szkieletowe rozmiar mięśni, chińscy atrakurium besylanowe dostawcy rozluźniaczy mięśni szkieletowych, Aktywny progesteron, 64228-81-5, 8047-67-4, Antybiotyki makrolidów fidaksomicin, Nystatyna, 96946-42-8

