Opis produktów
Nazwa angielskiego: Rocuronium Bromide Intermediate Necevurity
Numer CAS: 50588-22-2
Wzór molekularny: C21H30O4
Masa cząsteczkowa: 346,46
Numer einecs: 610-544-6
Powiązane kategorie: kontrola kontroli bezpieczeństwa; inhibitor; kontrola zanieczyszczeń; Intermediatesofrocuroniumbromid
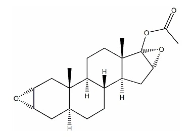
Formuła konstytucyjna:

Rocuronium bromek pośrednią właściwości zanieczyszczeń
Punkt wrzenia: 428,8 ± 45. 0 stopień (przewidywany)
Gęstość: 1,22 ± 0. 1 g\/cm3 (przewidywane)
Rozpuszczalność: rozpuszczalna w chloroformu (lekko podgrzewana), DMSO (lekko podgrzewana), metanolu (lekko podgrzewany)
Warunek przechowywania: w stopniu 2-8
Morfologiczny: solidny
Kolor: biały do białej
Popularne Tagi: Rocuronium Bromide Pośrednie zanieczyszczenia, Chiny Rocuronium Bromide Pośrednie Dostawcy zanieczyszczeń, 13522-16-2, 2061897-68-3, 74863-82-4, Isavuconazonium siarczan pośredni jest przeciwgrzybiczy, Średnio zaawansowany fosforan Oseltamiwir, Rocuronium bromek pośredni

